CAŁKA NIEOZNACZONA – KOLOKWIUM PWR BUDOWNICTWO
Czas kolokwiów i egzaminów powoli dobiega końca. Poniższe zadanie pochodzi z jednego z wielu kolokwiów przeprowadzonych na kierunku budownictwo na PWr.
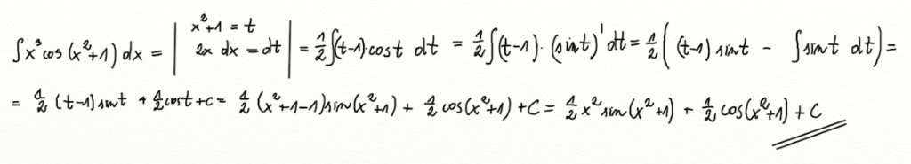
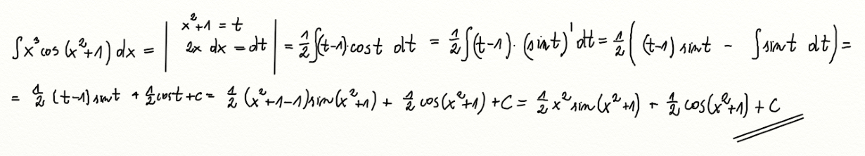
Oblicz całkę nieoznaczoną:
Rozwiązanie:
Całkę rozwiązujemy przez podstawienie. Po wykonaniu podstawienia całkujemy przez części.
Sprawdź najnowszy kurs z Podstaw Statyki Budowli! – PSB-Podstawy Statyki Budowli


